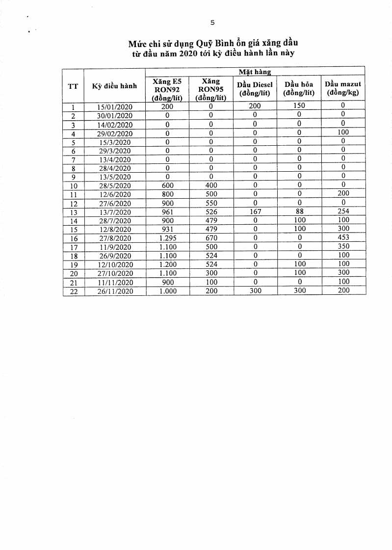
Một số thông tin điều hành giá xăng dầu ngày 26.11.2020
Vụ Thị trường trong nước
03:15 CH @ Thứ Năm - 26 tháng 11, 2020




Thông tin liên quan
Cùng chuyên mục
Tin nổi bật
Giá xăng dầu, thông tin đầu tư và các thông tin khác





Cam kết nỗ lực không ngừng để tiến xa hơn trên con đường phát triển và đưa cuộc sống của người Việt Nam cùng toàn thể người lao động Petrolimex lên tầm cao mới trong tương lai